wintertreey 님의 블로그
3.1 수열과 점화식 본문
http://www.kocw.net/home/cview.do?lid=89183ecdf8489809
AI를 위한 기초수학
이 강좌에서는 대학에서 다루는 미분적분학 관련 교과목을 전공하는데 필요한 기초적인 수학적 지식과 그 응용에 대해 알아본다. 특히 AI수학, 미분적분학과벡터해석(1), 미분적분학과벡터해석(
www.kocw.net
1. 수열
정해진 규칙에 따라 차례로 나열한 수
예제
a. a1= 5, a2= 7, a3= 9, a4= 11, a5= 13
b. a1= 1, a2 = 2, a3= 3, a4= 4, a5= 29
2-1. 등차수열
일정한 숫자를 차례로 더해서 만든 수열
d = 공차 common difference
$ a_{n+1} = a_{n} + d (n =1,2,3, ...) $
$ a_{n} = a+ (n-1)d$
예제
a. $ a_{n} $ = -4n + 3
b. $ a_{n} $ = 5n - 1
2-2. 등차수열의 합

예제
a. $ S_{n} = \frac{n(3n+7)}{2} $
$ S_{10} $ = 185
b.
$ S_{n) = 11n $
$ S_{10} $ = 110
N = 10
a = 5
d = 3
sum1 =0
for n in range(1,N+1):
sum1 = sum1 + (a+(n-1)*d)
sum2 = N*(2*a+(N-1)*d)/2
print("S10 = ", sum1, "by summation")
print("S10 = ", sum2, "by theorem 3-2")

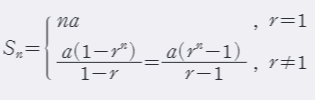
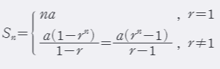
3-1. 등비수열
첫 번째 항 a에 차례로 일정한 수 r을 곱해서 만든 수열
r 공비 common ratio
$ a_{n} = ar^{n-1} $
예제
a. 2*3^{n-1}
b. 3*2^{n-2}
3-2. 등비수열의 합

예제
S6 = 210
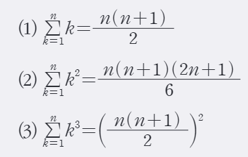
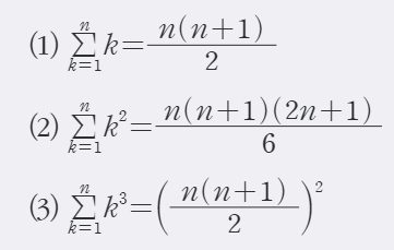
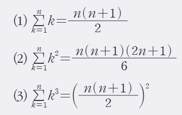
4. 수열의 합
$ \sum $ 시그마 Sigma
예제
a. $ \sum_{k=1}^{20}(3k-1) $
b. $ \sum_{k=1}^{50}(2k-1)^2 $

예제
a. 330

N = 10
sum1 =0
for k in range(1,N+1):
sum1 = sum1 + (k**2-k)
sum2 = N*(N+1)*(2*N+1)/6-N*(N+1)/2
print("S10 = ", sum1, "by summation")
print("S10 = ", sum2, "by theorem")
b. 270
5. 점화식 recurrence formula
주어진 수열의 이웃하는 여러 항 사이의 관계식을 나타낸 것
예제
(n+1)(2n^2-5n+6) / 3
2^{(n-1)n / 2}
a_{n} = 3^n +1
확인문제
1. 45
2.
a10 = 25
S10 = 115
3.
1275
4.
a. 5675
b. 2^45 +10
5.
a. 1/n
b. 2^{n-1} + 1
'수학' 카테고리의 다른 글
| 3.3 무한급수 (0) | 2025.07.10 |
|---|---|
| 3.2. 수열의 극한 (0) | 2025.07.08 |
| 2.4 연습문제, 프로그래밍 실습 (1) | 2025.07.01 |
| 2.3.3 역삼각함수 (1) | 2025.06.27 |
| 2.3.2 삼각함수 (0) | 2025.06.27 |