다항함수
단항식 3, 4x, 6x^2y, 3
곱하기, 나누기로 연결.
다항식 x+y+3, x^2+4y+7
덧셈, 뺄셈으로 연결.
초월함수
지수함수
로그함수
삼각함수
그래프 모양
a > 0 우상향 a < 0 우하향

일차방정식
그래프의 교집합의 x 값

y절편
y= -3x + 6
기울기
기울기
= y의 변화량 / x의 변화량. 절대값이 클수록 가파름.
그리는 법
1) 기울기값, 좌표 1
2) 좌표 2
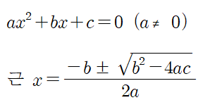
이차방정식
근의 공식


소인수분해
x^2 -3x -4 =0 <--전개--- (x-4)(x+1)=0
-인수분해->
근을 구하는 법
1) 그래프그리기
2) 인수분해
3) 판별식(D = b^2-4ac)로 근의 개수 판별
절댓값
= 원점부터의 거리.
번외.
나이와 키로 이뤄진 데이터가 있다고 해보자. 둘의 상관관계를 그래프로 표현해보고자 한다.
임의의 함수 직선그래프가 있다고 가정.
오차값을 구할때 제곱을 해주는 이유는 오차값의 차이를 더하다보면 음수와 양수가 서로 합해져 0이 될 수 있기 때문이다.
그렇게 오차값을 줄이며 기울기가 0에 수렴하는 가장 적합한 학습모델을 구현할 가중치w를 구하는 것.

'CS & Math > Mathematics' 카테고리의 다른 글
| [수학][미적분학] 1.3 역함수 (1) | 2025.06.09 |
|---|---|
| [수학][미적분학] 1.2 합성함수 (0) | 2025.05.27 |
| [수학][미적분학] 1.1 함수 (0) | 2025.05.27 |
| [수학] 0. 실수 집합과 연산 (0) | 2025.05.12 |
| [수학] 0. 수집합과 연산 (0) | 2025.05.08 |