http://www.kocw.net/home/cview.do?lid=98f52aa27bbb2e2c
AI를 위한 기초수학
이 강좌에서는 대학에서 다루는 미분적분학 관련 교과목을 전공하는데 필요한 기초적인 수학적 지식과 그 응용에 대해 알아본다. 특히 AI수학, 미분적분학과벡터해석(1), 미분적분학과벡터해석(
www.kocw.net
1. 행렬


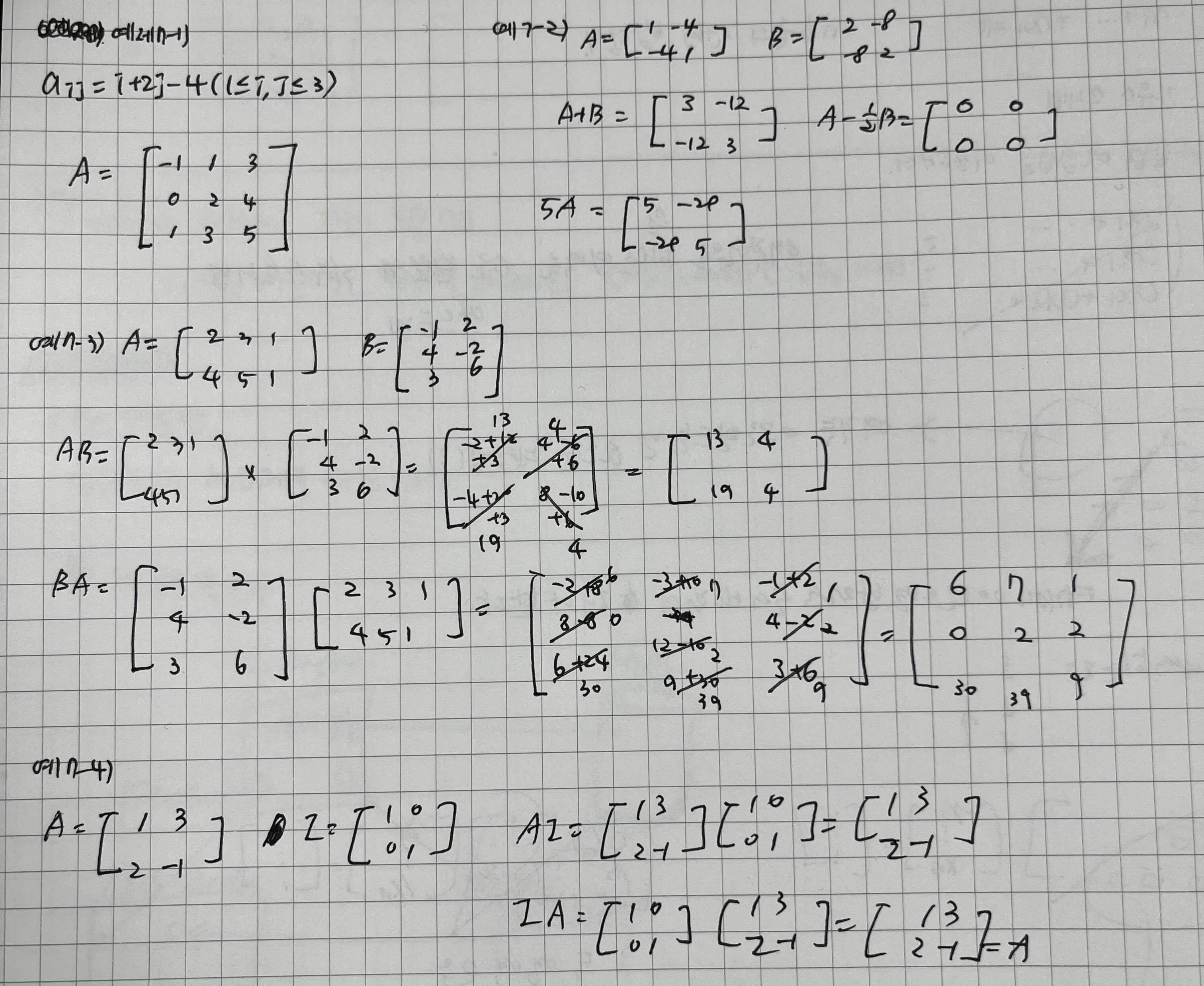
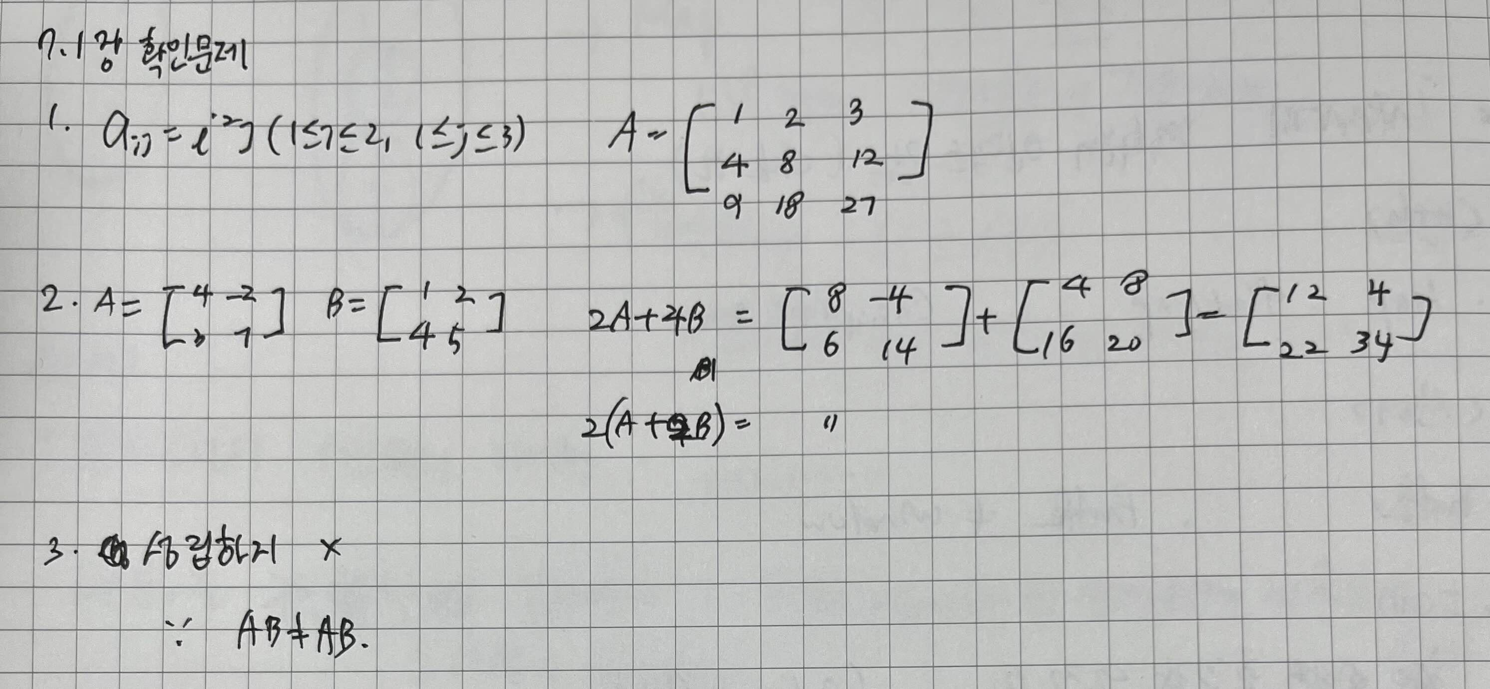
2. 행렬 연산과 성질
모든 성분이 0인 행렬을 영행렬 zero matrix이라 하고, O로 표기.





'CS & Math > Mathematics' 카테고리의 다른 글
| [수학][선형대수] 7.3 선형 연립방정식 (0) | 2026.01.08 |
|---|---|
| [수학][선형대수] 7.2 역행렬과 행렬식 (0) | 2026.01.08 |
| [수학][선형대수] 6.3 외적 6.4 직선, 평면의 방정식 (0) | 2025.12.19 |
| [수학][선형대수] 6.2 공간좌표 6.3 내적 (0) | 2025.12.11 |
| [수학][선형대수] 6.1 벡터 (0) | 2025.12.02 |