http://www.kocw.net/home/cview.do?lid=37d75dd4f66e3730
AI를 위한 기초수학
이 강좌에서는 대학에서 다루는 미분적분학 관련 교과목을 전공하는데 필요한 기초적인 수학적 지식과 그 응용에 대해 알아본다. 특히 AI수학, 미분적분학과벡터해석(1), 미분적분학과벡터해석(
www.kocw.net
확률변수 random variable
어떤 시행에서 상황에 따라 변수 X가 취하는 값과 그에 따른 확률이 결정될 때, 변수 X
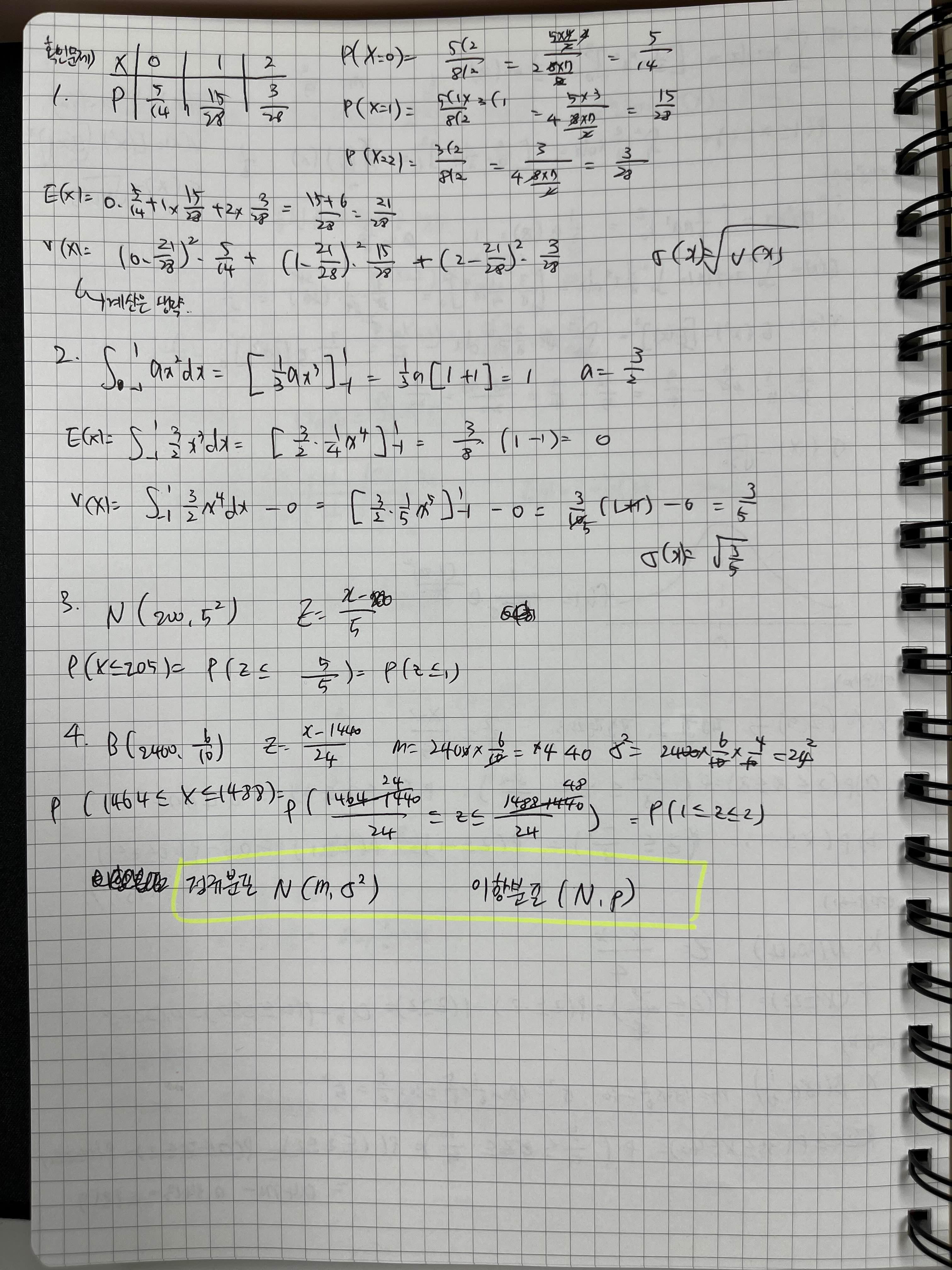
이산확률변수 discrete random variable
확률변수 X가 취할 수 있는 값의 개수가 유한할 때
이산확률분포 discrete random distribution
이산확률변수 X의 값들과 확률 P의 대응관계
확률질량함수 probability mass function
그 대응관계를 나타내는 함수
이항분포 binomial distribution
자연수 N 에 대해 N번의 독립시행에서 사건A가 일어나는 횟수를 확률변수 X라 할 때
한 번의 시행에서 사건 A가 일어날 확률이 p일 때 X의 확률질량함수 P(X=x)는 다음과 같다.
$ P(X=x) = C(N,x)p^{x}(1-p)^{N-x} $
이와 같은 확률질량함수를 가지는 확률분호를 이항분포라고 한다. B(N,p)
연속확률분포 continuous random variable
이산확률분포가 셀수 있는 변수에 대한 확률이었다면, 연속확률분포는 셀 수 없는 연속적으로 변하는 변수에 대한 확률 분포.
확률밀도함수 probability density function
연속확률변수 X가 구간[a, b]에서 임의의 실숫값을 취할 때, 다음 성질을 만족하는 함수 f(x)
정규분포 normal distribution 가우스 분포 Gaussian distribution

표준정규분포 standard normal distribution




'CS & Math > Mathematics' 카테고리의 다른 글
| RSA 예습 : 군 환 체, 오일러 피함수 (0) | 2026.02.09 |
|---|---|
| [수학][확률통계] 8.4 평균과 표준편차 (0) | 2026.01.21 |
| [수학][확률통계] 8.3 확률 (0) | 2026.01.21 |
| [수학][확률통계] 8.2 이항정리 (0) | 2026.01.21 |
| [수학][확률통계] 8.1 순열과 조합 (0) | 2026.01.21 |