CS & Math/Mathematics
[수학][미적분학] 5.6 적분의 응용
wintertreey
2025. 11. 25. 17:20
http://www.kocw.net/home/cview.do?lid=4925b05a59e50abf
AI를 위한 기초수학
이 강좌에서는 대학에서 다루는 미분적분학 관련 교과목을 전공하는데 필요한 기초적인 수학적 지식과 그 응용에 대해 알아본다. 특히 AI수학, 미분적분학과벡터해석(1), 미분적분학과벡터해석(
www.kocw.net
1. 넓이
함수 y= f((x)) 가 닫힌 구간 [a, b]에서 연속일 때,
곡선 y=f((x))와 두 직선 x=a, x=b와 x축으로 둘러싸인 도형의 넓이 S는 다음과 같다.
$ S= \int_{a}^{b}|f(x)|dx $

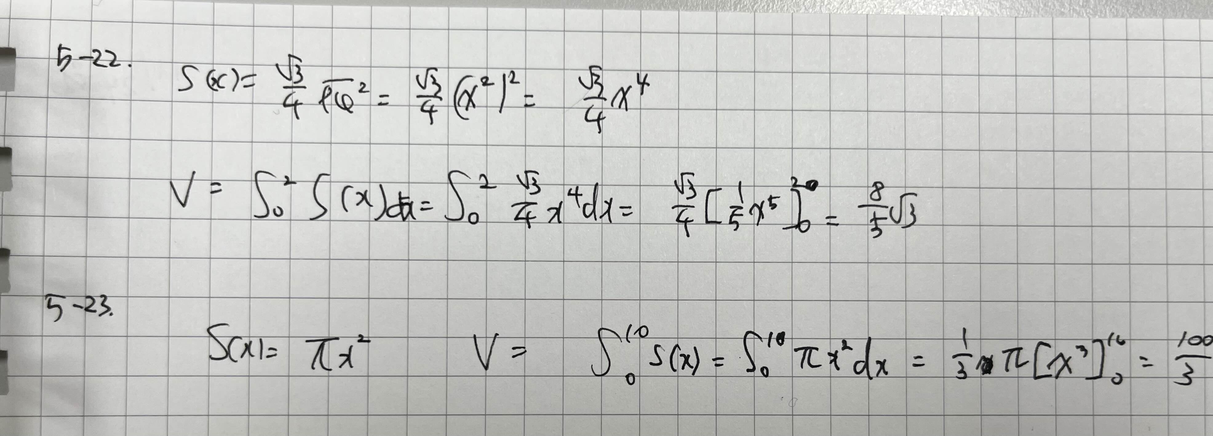
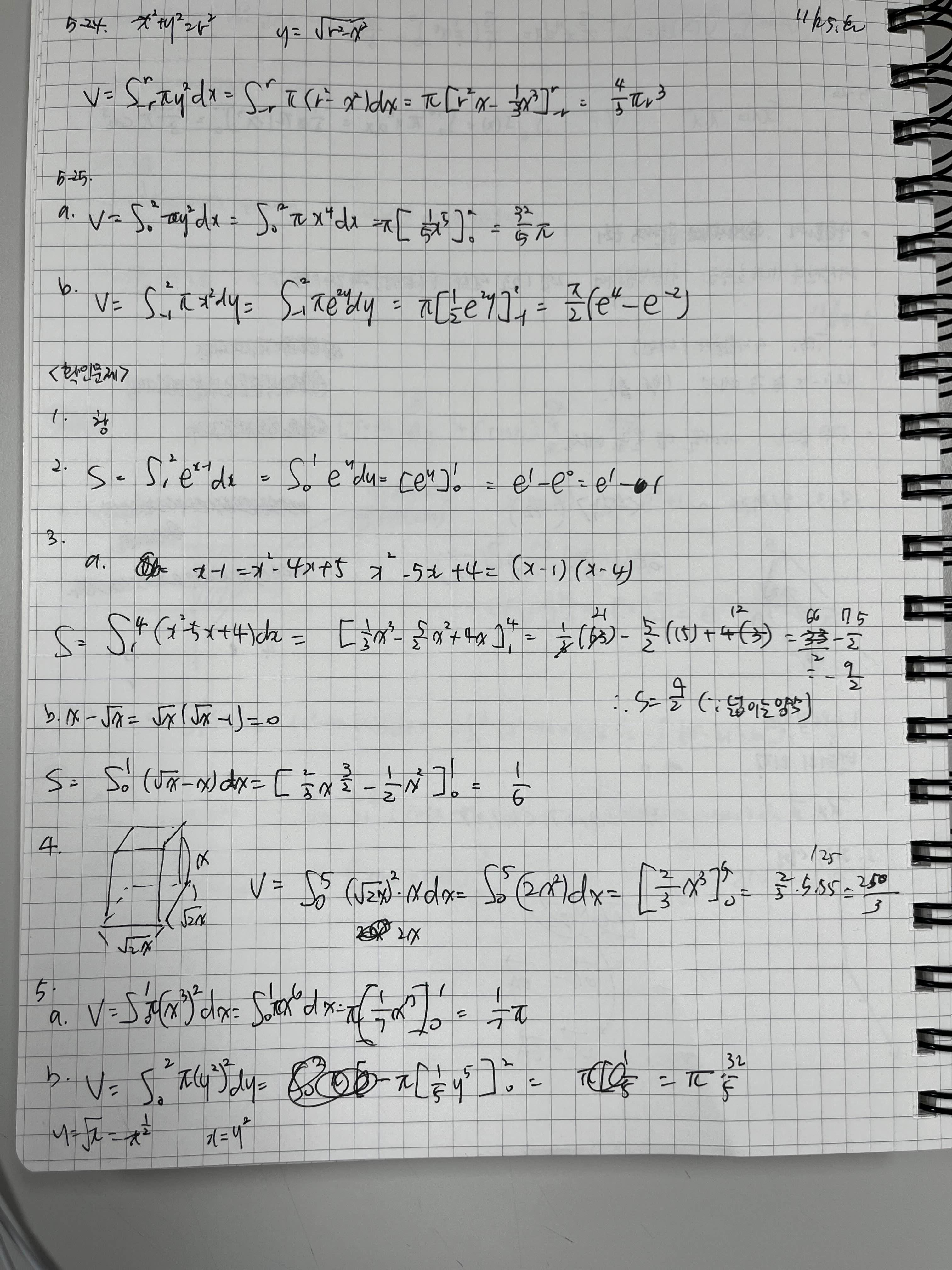
2. 부피

회전체의 부피
구간 [a, b]에서 연속인 함수 y=f((x))에 대하여, 곡선 y=f((x))와 두 직선 x=a, x=b와 x축으로 둘러싸인 도형을 x축을 기준으로 회전. 이 때 생기는 회전체의 부피는 다음과 같다.
$ V = \int_{c}^{d}\pi y^{2}dx = \int_{a}^{b}\pi{f(x)}^{2}dx $
