[수학][미적분학] 5.5 정적분, 부정적분
http://www.kocw.net/home/cview.do?lid=83ab3a5b6aeddd00
AI를 위한 기초수학
이 강좌에서는 대학에서 다루는 미분적분학 관련 교과목을 전공하는데 필요한 기초적인 수학적 지식과 그 응용에 대해 알아본다. 특히 AI수학, 미분적분학과벡터해석(1), 미분적분학과벡터해석(
www.kocw.net
http://www.kocw.net/home/cview.do?lid=466872286a39ebc5
참고하는 교재( 데이터 과학을 위한 기초수학 with 파이썬. 이병준 지음. 한빛아카데미)에 따르면 5.3 치환적분법을 해야하나, 영상으로 공부하고 교재를 확인하며 정리하는 입장에선 강의의 순서대로 정리하게 되었다.
AI를 위한 기초수학
이 강좌에서는 대학에서 다루는 미분적분학 관련 교과목을 전공하는데 필요한 기초적인 수학적 지식과 그 응용에 대해 알아본다. 특히 AI수학, 미분적분학과벡터해석(1), 미분적분학과벡터해석(
www.kocw.net
1. 넓이
<복습>
자연수의 거듭제곱의 합
$$ \sum_{k=1}^{n}k = \frac{n(n+1)}{2}
\sum_{k=1}^{n}k^{2}= \frac{n(n+1)(2n+1)}{6}
\sum_{k=1}^{n}k^{3} = \left(\frac{(n)(n+1)}{2}\right)^{2} $$
구분구적법 measuration by parts
반지름이 r인 원의 넓이 = $\Pi r^{2}$


2. 정적분 정의
연속하지 않는다면, 미분성립x. 그러나 적분 성립할 수 있다.
예시.
x<= 1 y= f((x))
x>1 y= g((x))
그리고 f((1)) =\= g((1))
이처럼 불연속이더라도 적분이 가능한 경우가 있다.

예제 5-13
예제 5-14

예제 5-15

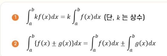
3. 정적분 성질


5-16

4. 함수의 평균값


5. 미적분학의 기본원리
